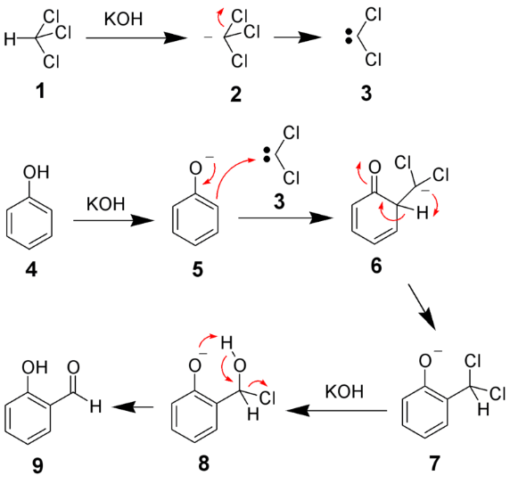
Reimer Tiemann reaction mechanism

The Reimer–Tiemann reaction is used to introduce a –CHO (aldehyde) group into a phenol ring, usually at the ortho position (forming salicylaldehyde).

Overall reaction

Phenol + CHCl₃ + NaOH → o-hydroxybenzaldehyde (major) + p-hydroxybenzaldehyde (minor)

Key Points to Remember

  • Reagent: CHCl₃ + NaOH
  • Reactive intermediate: dichlorocarbene (:CCl₂)
  • Directing group: –O⁻ (phenoxide) → ortho/para directing
  • Major product: ortho-hydroxybenzaldehyde
  • Para product is minor due to intramolecular H-bonding stabilizing ortho product

Leave a comment