Stereoisomerism organic chemistry JEE/NEET Concepts

Stereoisomerism organic chemistry JEE/NEET Concepts

What is Stereoisomerism?

Compounds with:

  • Same molecular formula
  • Same connectivity
  • Different 3D arrangement

Types of Stereoisomerism

(A) Geometrical Isomerism

(B) Optical Isomerism

Geometrical Isomerism (cis–trans / E–Z)

Condition:

  • Restricted rotation (C=C, ring)
  • Each carbon must have two different groups

Types:

cis–trans (simple case)

  • Same groups → cis
  • Opposite → trans

Example:

  • cis-2-butene vs trans-2-butene

E–Z system (priority based)

Use Cahn–Ingold–Prelog priority rules

  • Higher priority same side → Z
  • Opposite side → E

Priority Rules

Based on Cahn–Ingold–Prelog priority rules


When to use E–Z?

Use E–Z when:

  • Alkene has 4 different groups
  • cis–trans is not applicable

Priority Rules (STEP-BY-STEP)

Rule 1: Atomic Number

Higher atomic number = higher priority

Example:

  • I > Br > Cl > F
  • O > N > C > H

Rule 2: If same atom → go to next atom

Compare atoms attached to that atom

Example:

  • –CH₃ vs –CH₂CH₃
    \ Compare next atoms → ethyl gets higher priority

Rule 3: Multiple Bonds

Treat as if atom is bonded to duplicate atoms

Example:

  • C=O → C attached to O, O
  • C≡N → C attached to N, N, N

Rule 4: Isotopes

Higher mass number = higher priority
Example:

  • D > H

MCQs (E–Z Configuration – Advanced)

Q1.

The correct configuration of the alkene is:

CH₃–CH = C(Cl)–CH₂CH₃

(A) E
(B) Z
(C) Cannot be determined
(D) No geometrical isomerism


Q2.

Which of the following has Z-configuration?

(A) CH₃–CH=CH–Br
(B) CH₃–CH=CH–CH₃
(C) CH₃–CH=CH–Cl
(D) CH₃–CH=CH–F


Q3.

The compound having E-configuration is:

(A) CH₃–CH=CH–NO₂
(B) CH₃–CH=CH–CN
(C) CH₃–CH=CH–CHO
(D) CH₃–CH=CH–CH₃


Q4.

Consider:

CH₃–CH = C(CH₃)–CHO

Its configuration is:

(A) E
(B) Z
(C) Both possible
(D) No GI


Q5.

Which has highest priority group correctly identified?

(A) –OH > –NH₂
(B) –CH₃ > –Cl
(C) –Br > –I
(D) –H > –D


Q6.

In the compound:

CH₃–C(Br)=C(Cl)–CH₂OH

The configuration is:

(A) E
(B) Z
(C) No GI
(D) Cannot decide


Q7.

Which shows no geometrical isomerism?

(A) CH₃–CH=CH–CH₃
(B) CH₂=CH–CH₃
(C) CHCl=CHCl
(D) CH₃–CH=CH–Cl


Q8.

In:

CH₃–CH = C(CN)–COOH

Configuration is:

(A) E
(B) Z
(C) Both
(D) None


Q9.

Priority order is correct for:

(A) –COOH > –CHO
(B) –CN > –COOH
(C) –CH₂OH > –CH₃
(D) –NH₂ > –OH


Q10.

In:

CH₃–CH = C(Br)–C≡N

Configuration is:

(A) E
(B) Z
(C) No GI
(D) Cannot be determined

Here are the correct options only

  1. A
  2. C
  3. A
  4. A
  5. A
  6. A
  7. B
  8. B
  9. C
  10. A

Optical Isomerism

Based on Chirality

A molecule is chiral if:

  • It is non-superimposable mirror image

Chiral Carbon (asymmetric carbon)

  • Attached to 4 different groups

Types:

(1) Enantiomers

  • Mirror images
  • Rotate plane polarized light in opposite directions

(2) Diastereomers

  • Not mirror images
  • Different physical properties

Meso Compounds

  • Have chiral centers but optically inactive
  • Due to internal plane of symmetry

Optical Activity

d(+) → dextrorotatory

l(–) → levorotatory

Optical Activity of Diastereomers

Case 1: Optically Active

If molecule:

  • Has chiral center(s)
  • No plane of symmetry

✔ Then diastereomer rotates plane polarized light


Case 2: Optically Inactive

If molecule:

  • Has internal plane of symmetry (meso form)

✔ Then diastereomer is optically inactive


Example

Tartaric acid:

  • (R,R) and (S,S) → Enantiomers → optically active
  • (R,S) → Meso form → optically inactive

here:

  • (R,R) vs (R,S) = Diastereomers
  • But:
    • (R,R) → active
    • (R,S) → inactive

This image has an empty alt attribute; its file name is image-86.png

Final Answer

Enantiomers:

(i) & (ii)

Meso:

(iii)

Diastereomers:

  • (i) & (iii)
  • (ii) & (iii)
  • (i) & (iv)
  • (ii) & (iv)
  • (iii) & (iv)

Key Recall

  • (i) & (ii) → enantiomers → both optically active
  • (iii)meso → optically inactive
  • (iv)optically active

Diastereomer Pairs Analysis

(i) & (iii)

  • (i) → active
  • (iii) → inactive (meso)
    Pair: one active + one inactive

(ii) & (iii)

  • (ii) → active
  • (iii) → inactive
    Pair: one active + one inactive

(iii) & (iv)

  • (iii) → inactive
  • (iv) → active
    Pair: one active + one inactive

(i) & (iv)

  • (i) → active
  • (iv) → active
    Pair: both optically active

(ii) & (iv)

  • (ii) → active
  • (iv) → active
    Pair: both optically active

3. Effect on number of stereoisomers

General:

Maximum=2n

With plane of symmetry:

Some structures become identical (meso)Actual=2n(meso forms)

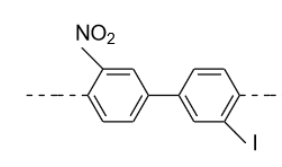
How to find the plane of symmetry in biphenyls and substituted cyclohexane?

Optical activity is shown by compounds in which plane of symmetry is not present, if plane of symmetry is present in any compound then they will never show optical activity.

Optical activity is a kind of property of any compound which rotates the plane polarized light to the right or left side from the direction of upcoming light.
In biphenyls two benzene rings are present and if a plane of symmetry is present within the molecule then they don’t show optical activity.

This molecule does not have a plane of symmetry

Biphenyl rotation:

  1. Structure: Biphenyl has two benzene rings connected by a single C–C bond.
    • So, in principle, it’s a single bond, which allows rotation.
  2. Rotation limitation:
    • Each benzene ring is planar.
    • If there are no substituents at ortho positions, the two rings can rotate freely at room temperature.
    • If there are bulky groups at the ortho positions (next to the connecting bond), steric hindrance prevents free rotation, and the molecule may adopt a twisted conformation.
    • Extremely hindered biphenyls can even be atropisomers (stable enantiomers due to restricted rotation)

. It is chiral if the biphenyl can’t rotate freely (restricted rotation around the central C–C bond) and may exist as atropisomers.

Position matters most

  • Only ortho substituents (2,2’ positions on biphenyl) cause steric hindrance.
  • Meta and para positions do not block rotation.

Leave a comment