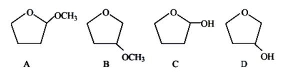
- The major product formed in the following conversion is

2.The product formed from the following reaction sequence is

3.The correct order of strengths of the carboxylic acids

Q 4.Given below are two statements :
Statement I : Cross aldol condensation between two different aldehydes will always produce four different products.
Statement II : When semicarbazide reacts with a mixture of benzaldehyde and acetophenone under optimum pH , it forms a condensation product with acetophenone only.
Q.5
In the light of the above statements, choose the correct answer from the options given below
A student is given one compound among the following compounds that gives positive test with Tollen’s reagent
